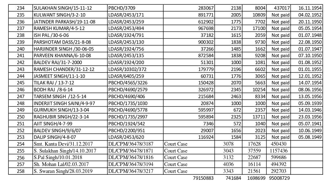
Relates to Zonal Office, Pb & HP Chandigarh Revised Higher Pension List
Search Your Name In Higher Pension List, Full List Given Below
In this article we are going to see the revised EPS 95 Higher Pension list of Zonal Office, Pb & HP Chandigarh which is obtained by RTI. The RTI details and revised list given below.
Your kind aenon is invited towards the following provisions as contained in the RTI Act, 2005 for
strict compliance by all public authories
a) Secon 8(j) wherein it has been provided that THE INFORMATION WHICH CANNOT BE DENIED TO THE PARLIAMENT OR A STATE LEGISLATURE SHALL NOT BE DENIED TO ANY PERSON
b) Secon 4(4) wherein it has been provided that all material shall be disseminated taking into consideraon the cost effecveness and to the extent possible in electronic format
c) Secon 7(9) wherein it has been provided that an informaon shall ordinarily be provided in the
form in which it is sought
d) Secon 2(j)(iv) wherein it has been provided that applicants have a right to obtain informaon as
stored in a computer or in any other device
1. So copy (available format) of the emails IN THE SAME FORMAT IN WHICH IT HAD BEEN RECEIVED
from the Legal Division of EPFO HQ be provided to me through my registered email i.e. by forwarding
me the same emails (as it is) along with enclosures with which following leers had been received by
the Zonal Office
(a) Leer no. LC-E-file No. 15795 dated 21.7.2020 with all enclosures regarding dealing with maers of
higher pension - Signed by Mr. Amit Vashist, RPFC-I (Legal)
(b) Leer no. LC-E-file No. 15795/2/782 dated 16.9.2020 with all enclosures regarding dealing with
maers of higher pension - Signed by Mr. Jagmohan, ACC (HQ), Legal
2. So copy (available format) of the latest RO wise Consolidated list containing details of all seled
cases of PENSION REVISION on Higher Pension REPEAT Consolidated list containing details of all seled cases of PENSION REVISION on Higher Pension as sent by Zonal Office to Head Office in r/o all the ROs under the jurisdicon of Zonal Office
3. So copy (available format) of the latest RO wise Consolidated list containing details of all seled
cases of PENSION REVISION on Higher Pension as available with Zonal Office
4. So copy (available format) of the latest RO wise Consolidated list containing details of all COURT
cases disposed of/pending cases regarding Higher Pension as sent by Zonal Office to Head Office in r/o
all the ROs under the jurisdicon of Zonal Office
(a) Disposed of cases
(b) Pending cases
CLICK HERE TO DOWNLOAD COMPLETE 117 PAGES PDF OF REVISED PENSION LIST























0 Post a Comment:
Post a Comment